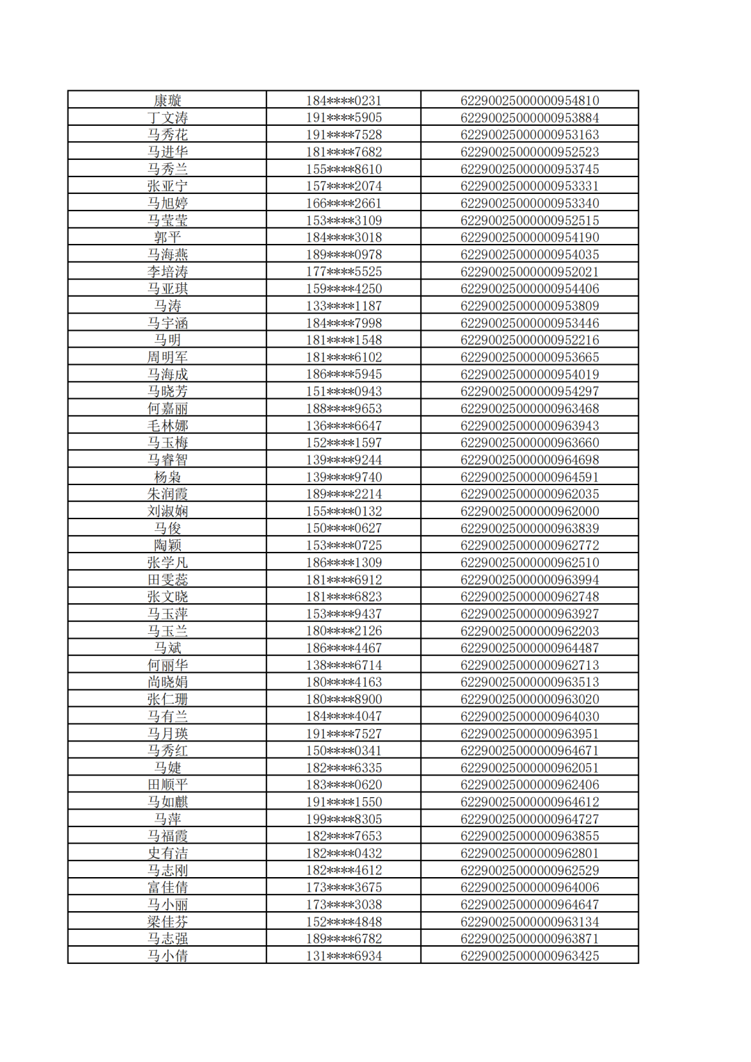
临夏州2025年上半年普通话水平测试交费采取网上缴费的方式全部缴存非税,缴费流程如下:1.报名成功的考生在《临夏州2025年上半年普通话测试费缴费明细表》获取20位缴款码(见附件)。2.登录甘肃政务服务网(https://www.gstyggzf.gov.cn/index_pay)→输入20位缴款码及缴款人姓名、验证码→选择交费方式缴费即可。3.按甘价费〔2009〕93号文件规定的标准执行,社会人员每人交费60元,需一次性全额交款。4.报考人员缴费成功后,可于5月6日登录报名网站查询报名情况,自行打印准考证(https://bm.cltt.org/#/documents-print)。5.缴费期限为4月26日至4月29日,未在缴费时间内完成线上缴费的,视为自动放弃报名。
附件:临夏州2025年上半年普通话测试费缴费明细表
